199. Binary Tree Right Side View
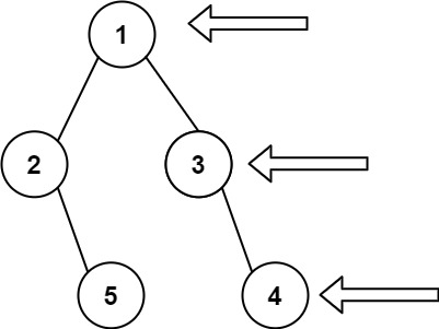
Input: root = [1,2,3,null,5,null,4]
Output: [1,3,4]/**
* Definition for a binary tree node.
* public class TreeNode {
* int val;
* TreeNode left;
* TreeNode right;
* TreeNode() {}
* TreeNode(int val) { this.val = val; }
* TreeNode(int val, TreeNode left, TreeNode right) {
* this.val = val;
* this.left = left;
* this.right = right;
* }
* }
*/
class Solution {
public List<Integer> rightSideView(TreeNode root) {
List<Integer> res = new ArrayList<>();
helper(root, res, 0);
return res;
}
private void helper(TreeNode root, List<Integer> res, int level) {
if (root == null) return;
if (level == res.size()) res.add(root.val); // this line will add one element to result for one level only
helper(root.right, res, level + 1); // go to right side first
helper(root.left, res, level + 1);
}
}Last updated
